Hi all,
Below is an analysis of downloads of Vassal over time. The data was collected via the GitHub REST API.
Update: Added plot of relative number of downloads, as well as line of total number of downloads.
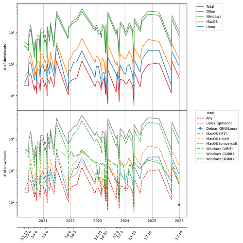
Operating systems
The analysis shows the number of downloads of Vassal by overall operating system (OS), and more specific OS.
Linux
Generic Linux - tar-ball that is extracted to a location, with no desktop integration.
Debian GNU/Linux - distribution package installed like any other package and with full desktop integration.
MacOS
- MacOS (M1) - newer Apple laptops and desktops installation packages with little desktop integration.
- MacOS (Intel) - older Apple laptops and desktop installation packages with little desktop integration.
- MacOS (universal) - installation package for both Intel and M1 (arm) machines with little desktop integration.
Windows
- Windows (32bit) - installation application for older x86 32-bit machines with full desktop integration.
- Windows (64bit) - installation application for x86 64-bit machines with full desktop integration.
- Windows (ARM) - installation application for ARM machines with full desktop integration.
Other
- Any - Zip archive with the Java code and supporting materials, and no integrations.
Number of downloads
The first plot, is the number of downloads over time (and release number) according to the overall OS (top) and more specific OS version (bottom).
Note that the ordinate (y-axis) is logarithmic.
The second plot is the same as the above, except relative to the total number of downloads.
Below is a table of the data
| Date | Release | Linux | Linux (generic) | Debian GNU/Linux | MacOS | MacOS (universal) | MacOS (Intel) | MacOS (M1) | Other | Any | Windows | Windows (64bit) | Windows (32bit) | Windows (ARM) |
|---|---|---|---|---|---|---|---|---|---|---|---|---|---|---|
| 2025-12-30 | 3.7.19 | 883 | 799 | 84 | 1436 | 1436 | - | - | 365 | 365 | 7736 | 6908 | 458 | 370 |
| 2025-09-23 | 3.7.18 | 2475 | 2475 | - | 4225 | 4225 | - | - | 1234 | 1234 | 25721 | 22107 | 1939 | 1675 |
| 2025-09-17 | 3.7.17 | 209 | 209 | - | 629 | 629 | - | - | 120 | 120 | 3647 | 2701 | 486 | 460 |
| 2025-04-05 | 3.7.16 | 2711 | 2711 | - | 5096 | 5096 | - | - | 1070 | 1070 | 34638 | 30879 | 2022 | 1737 |
| 2024-11-07 | 3.7.15 | 2640 | 2640 | - | 5956 | 5956 | - | - | 967 | 967 | 37090 | 32642 | 2346 | 2102 |
| 2024-08-18 | 3.7.14 | 1403 | 1403 | - | 3268 | 3268 | - | - | 490 | 490 | 21904 | 18908 | 1574 | 1422 |
| 2024-07-25 | 3.7.13 | 544 | 544 | - | 1486 | 1486 | - | - | 186 | 186 | 10505 | 8243 | 1148 | 1114 |
| 2024-05-04 | 3.7.12 | 1366 | 1366 | - | 3187 | 3187 | - | - | 570 | 570 | 22910 | 19351 | 1739 | 1820 |
| 2024-05-03 | 3.7.11 | 79 | 79 | - | 165 | 165 | - | - | 49 | 49 | 586 | 433 | 70 | 83 |
| 2024-04-14 | 3.7.10 | 450 | 450 | - | 1397 | 1397 | - | - | 206 | 206 | 10086 | 7225 | 1312 | 1549 |
| 2024-02-29 | 3.7.9 | 972 | 972 | - | 2557 | 2557 | - | - | 335 | 335 | 16047 | 13062 | 1543 | 1442 |
| 2024-02-01 | 3.7.8 | 851 | 851 | - | 1754 | 1754 | - | - | 250 | 250 | 9684 | 8965 | 401 | 318 |
| 2024-01-11 | 3.7.7 | 466 | 466 | - | 1437 | 1437 | - | - | 237 | 237 | 7802 | 7208 | 332 | 262 |
| 2023-12-15 | 3.7.6 | 535 | 535 | - | 1558 | 1558 | - | - | 301 | 301 | 13476 | 10420 | 1573 | 1483 |
| 2023-10-30 | 3.7.5 | 921 | 921 | - | 2087 | 2087 | - | - | 332 | 332 | 17923 | 14541 | 1761 | 1621 |
| 2023-10-20 | 3.7.4 | 285 | 285 | - | 668 | 668 | - | - | 123 | 123 | 3810 | 3436 | 191 | 183 |
| 2023-10-16 | 3.7.3 | 166 | 166 | - | 365 | 365 | - | - | 65 | 65 | 1710 | 1513 | 102 | 95 |
| 2023-10-08 | 3.7.2 | 414 | 414 | - | 598 | 598 | - | - | 130 | 130 | 3083 | 2766 | 172 | 145 |
| 2023-09-20 | 3.7.1 | 340 | 340 | - | 1179 | - | 661 | 518 | 552 | 552 | 11062 | 8007 | 1515 | 1540 |
| 2023-09-07 | 3.7.0 | 486 | 486 | - | 939 | - | 529 | 410 | 127 | 127 | 8482 | 5568 | 1464 | 1450 |
| 2023-05-18 | 3.6.19 | 1583 | 1583 | - | 4090 | - | 2557 | 1533 | 657 | 657 | 37245 | 32763 | 2347 | 2135 |
| 2023-05-18 | 3.6.18 | 76 | 76 | - | 178 | - | 96 | 82 | 55 | 55 | 376 | 220 | 76 | 80 |
| 2023-04-23 | 3.6.17 | 404 | 404 | - | 1333 | - | 841 | 492 | 217 | 217 | 16173 | 12928 | 1627 | 1618 |
| 2023-04-17 | 3.6.16 | 173 | 173 | - | 475 | - | 270 | 205 | 109 | 109 | 2193 | 1899 | 158 | 136 |
| 2023-03-28 | 3.6.15 | 538 | 538 | - | 1197 | - | 773 | 424 | 360 | 360 | 13635 | 10455 | 1606 | 1574 |
| 2023-03-01 | 3.6.14 | 510 | 510 | - | 1537 | - | 996 | 541 | 228 | 228 | 15211 | 11794 | 1724 | 1693 |
| 2023-02-24 | 3.6.13 | 174 | 174 | - | 598 | - | 357 | 241 | 155 | 155 | 6752 | 3642 | 1568 | 1542 |
| 2023-02-16 | 3.6.12 | 289 | 289 | - | 683 | - | 412 | 271 | 156 | 156 | 7528 | 4307 | 1627 | 1594 |
| 2023-02-03 | 3.6.11 | 422 | 422 | - | 1154 | - | 665 | 489 | 217 | 217 | 9518 | 6125 | 1712 | 1681 |
| 2023-01-11 | 3.6.10 | 843 | 843 | - | 1625 | - | 990 | 635 | 279 | 279 | 8834 | 7886 | 458 | 490 |
| 2022-12-14 | 3.6.9 | 843 | 843 | - | 1708 | - | 1082 | 626 | 265 | 265 | 13867 | 10142 | 1878 | 1847 |
| 2022-11-27 | 3.6.8 | 371 | 371 | - | 1096 | - | 667 | 429 | 191 | 191 | 11072 | 7623 | 1752 | 1697 |
| 2022-06-03 | 3.6.7 | 2603 | 2603 | - | 6440 | - | 4468 | 1972 | 1257 | 1257 | 45991 | 37579 | 3895 | 4517 |
| 2022-03-27 | 3.6.6 | 1171 | 1171 | - | 2849 | - | 2045 | 804 | 361 | 361 | 22642 | 16904 | 2793 | 2945 |
| 2022-02-10 | 3.6.5 | 1120 | 1120 | - | 2429 | - | 1763 | 666 | 328 | 328 | 19831 | 14045 | 2843 | 2943 |
| 2022-01-17 | 3.6.4 | 786 | 786 | - | 1753 | - | 1144 | 609 | 307 | 307 | 17445 | 10507 | 2869 | 4069 |
| 2021-12-29 | 3.6.3 | 599 | 599 | - | 1544 | - | 982 | 562 | 269 | 269 | 14382 | 8036 | 2932 | 3414 |
| 2021-12-09 | 3.6.2 | 615 | 615 | - | 1264 | - | 803 | 461 | 248 | 248 | 14633 | 8398 | 2950 | 3285 |
| 2021-12-03 | 3.6.1 | 341 | 341 | - | 603 | - | 380 | 223 | 106 | 106 | 9822 | 4344 | 2680 | 2798 |
| 2021-12-01 | 3.6.0 | 144 | 144 | - | 410 | - | 244 | 166 | 107 | 107 | 6323 | 3438 | 2688 | 197 |
| 2021-06-29 | 3.5.8 | 3682 | 3682 | - | 4676 | - | 4676 | - | 1203 | 1203 | 35257 | 30580 | 4677 | - |
| 2021-06-03 | 3.5.7 | 695 | 695 | - | 1261 | - | 1261 | - | 325 | 325 | 7330 | 6850 | 480 | - |
| 2021-05-25 | 3.5.6 | 401 | 401 | - | 641 | - | 641 | - | 183 | 183 | 3431 | 3127 | 304 | - |
| 2021-04-06 | 3.5.5 | 1152 | 1152 | - | 2372 | - | 2372 | - | 393 | 393 | 15988 | 15147 | 841 | - |
| 2021-03-28 | 3.5.4 | 478 | 478 | - | 730 | - | 730 | - | 241 | 241 | 5141 | 4783 | 358 | - |
| 2021-02-23 | 3.5.3 | 1007 | 1007 | - | 2044 | - | 2044 | - | 346 | 346 | 11750 | 11018 | 732 | - |
| 2021-02-23 | 3.5.2 | 196 | 196 | - | 284 | - | 284 | - | 98 | 98 | 965 | 709 | 256 | - |
| 2021-02-14 | 3.5.1 | 533 | 533 | - | 800 | - | 800 | - | 181 | 181 | 4105 | 3724 | 381 | - |
| 2021-01-31 | 3.5.0 | 679 | 679 | - | 1224 | - | 1224 | - | 254 | 254 | 5742 | 5249 | 493 | - |
| 2021-01-22 | 3.4.13 | 550 | 550 | - | 1134 | - | 1134 | - | 187 | 187 | 4556 | 4142 | 414 | - |
| 2020-12-27 | 3.4.12 | 965 | 965 | - | 1969 | - | 1969 | - | 348 | 348 | 9604 | 8935 | 669 | - |
| 2020-11-29 | 3.4.11 | 769 | 769 | - | 2049 | - | 2049 | - | 330 | 330 | 9701 | 9063 | 638 | - |
| 2020-11-23 | 3.4.10 | 503 | 503 | - | 714 | - | 714 | - | 163 | 163 | 2580 | 2320 | 260 | - |
| 2020-11-20 | 3.4.9 | 329 | 329 | - | 571 | - | 571 | - | 137 | 137 | 1945 | 1649 | 296 | - |
| 2020-11-08 | 3.4.8 | 663 | 663 | - | 1165 | - | 1165 | - | 234 | 234 | 5707 | 5205 | 502 | - |
| 2020-10-25 | 3.4.7 | 644 | 644 | - | 1253 | - | 1253 | - | 255 | 255 | 6035 | 5488 | 547 | - |
| 2020-10-12 | 3.4.6 | 667 | 667 | - | 1170 | - | 1170 | - | 245 | 245 | 5648 | 5096 | 552 | - |
| 2020-10-06 | 3.4.5 | 357 | 357 | - | 583 | - | 583 | - | 366 | 366 | 2692 | 2431 | 261 | - |
| 2020-10-05 | 3.4.4 | 267 | 267 | - | 295 | - | 295 | - | 113 | 113 | 861 | 605 | 256 | - |
| 2020-09-24 | 3.4.3 | 569 | 569 | - | 953 | - | 953 | - | 211 | 211 | 4416 | 3955 | 461 | - |
| 2020-09-16 | 3.4.2 | 453 | 453 | - | 739 | - | 739 | - | 167 | 167 | 3086 | 2678 | 408 | - |
| 2020-09-07 | 3.4.1 | 412 | 412 | - | 770 | - | 770 | - | 202 | 202 | 3030 | 2728 | 302 | - |
| 2020-09-04 | 3.4.0 | 308 | 308 | - | 457 | - | 457 | - | 146 | 146 | 1595 | 1381 | 214 | - |
| 2020-07-16 | 3.3.2 | 1180 | 1180 | - | 2260 | - | 2260 | - | 501 | 501 | 12852 | 11872 | 980 | - |
| 2020-06-22 | 3.3.1 | 994 | 994 | - | 1444 | - | 1444 | - | 415 | 415 | 6454 | - | 6454 | - |
| 2020-06-16 | 3.3.0 | 472 | 472 | - | 573 | - | 573 | - | 205 | 205 | 2628 | - | 2628 | - |
| 2020-04-26 | 3.2.17 | 244 | 244 | - | 415 | - | 415 | - | 207 | 207 | 3941 | - | 3941 | - |
Observations
Clearly, Windows is the most popular OS amongst Vassal users, with more than 75% of all downloads are for that OS. Roughly 12.5% of downloads are for MacOS, and about 10% for Linux. These ratios seem rather stable over time.
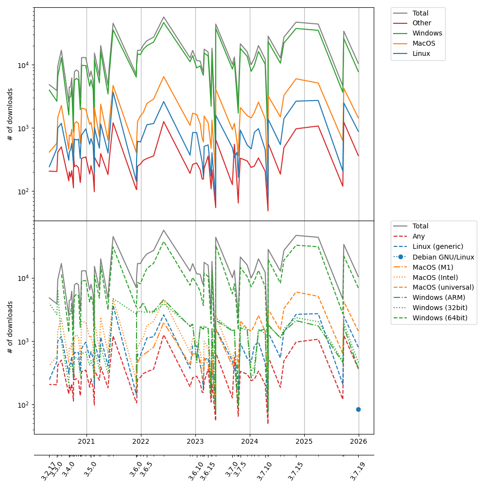
Download sizes
The next plot is the download size, over time (and release number), for the overall OS and the more specific OS version.
and a table of the data
| Date | Release | Linux | Linux (generic) | Debian GNU/Linux | MacOS | MacOS (universal) | MacOS (Intel) | MacOS (M1) | Other | Any | Windows | Windows (64bit) | Windows (32bit) | Windows (ARM) |
|---|---|---|---|---|---|---|---|---|---|---|---|---|---|---|
| 2025-12-30 | 3.7.19 | 24.2 MB | 29.2 MB | 19.2 MB | 78.2 MB | 78.2 MB | - | - | 30.0 MB | 30.0 MB | 64.5 MB | 64.9 MB | 63.7 MB | 65.0 MB |
| 2025-09-23 | 3.7.18 | 29.2 MB | 29.2 MB | - | 78.0 MB | 78.0 MB | - | - | 30.0 MB | 30.0 MB | 64.2 MB | 64.5 MB | 63.6 MB | 64.6 MB |
| 2025-09-17 | 3.7.17 | 29.2 MB | 29.2 MB | - | 78.0 MB | 78.0 MB | - | - | 29.9 MB | 29.9 MB | 64.2 MB | 64.5 MB | 63.5 MB | 64.5 MB |
| 2025-04-05 | 3.7.16 | 29.0 MB | 29.0 MB | - | 77.4 MB | 77.4 MB | - | - | 29.8 MB | 29.8 MB | 63.9 MB | 64.4 MB | 62.9 MB | 64.2 MB |
| 2024-11-07 | 3.7.15 | 28.4 MB | 28.4 MB | - | 76.1 MB | 76.1 MB | - | - | 29.2 MB | 29.2 MB | 62.7 MB | 63.2 MB | 62.1 MB | 63.0 MB |
| 2024-08-18 | 3.7.14 | 28.3 MB | 28.3 MB | - | 75.9 MB | 75.9 MB | - | - | 29.1 MB | 29.1 MB | 62.4 MB | 62.8 MB | 61.5 MB | 62.8 MB |
| 2024-07-25 | 3.7.13 | 28.3 MB | 28.3 MB | - | 75.9 MB | 75.9 MB | - | - | 29.1 MB | 29.1 MB | 62.5 MB | 62.8 MB | 62.0 MB | 62.8 MB |
| 2024-05-04 | 3.7.12 | 31.7 MB | 31.7 MB | - | 79.4 MB | 79.4 MB | - | - | 32.5 MB | 32.5 MB | 65.9 MB | 66.2 MB | 65.4 MB | 66.2 MB |
| 2024-05-03 | 3.7.11 | 31.7 MB | 31.7 MB | - | 79.4 MB | 79.4 MB | - | - | 32.5 MB | 32.5 MB | 65.9 MB | 66.2 MB | 65.4 MB | 66.2 MB |
| 2024-04-14 | 3.7.10 | 31.7 MB | 31.7 MB | - | 79.3 MB | 79.3 MB | - | - | 32.5 MB | 32.5 MB | 65.9 MB | 66.2 MB | 65.4 MB | 66.2 MB |
| 2024-02-29 | 3.7.9 | 31.7 MB | 31.7 MB | - | 79.8 MB | 79.8 MB | - | - | 32.5 MB | 32.5 MB | 65.8 MB | 66.0 MB | 65.3 MB | 66.0 MB |
| 2024-02-01 | 3.7.8 | 31.7 MB | 31.7 MB | - | 79.8 MB | 79.8 MB | - | - | 32.4 MB | 32.4 MB | 65.8 MB | 66.0 MB | 65.3 MB | 66.0 MB |
| 2024-01-11 | 3.7.7 | 31.6 MB | 31.6 MB | - | 79.5 MB | 79.5 MB | - | - | 32.4 MB | 32.4 MB | 65.7 MB | 65.9 MB | 65.2 MB | 65.9 MB |
| 2023-12-15 | 3.7.6 | 31.6 MB | 31.6 MB | - | 79.5 MB | 79.5 MB | - | - | 32.4 MB | 32.4 MB | 65.7 MB | 65.9 MB | 65.2 MB | 65.9 MB |
| 2023-10-30 | 3.7.5 | 31.4 MB | 31.4 MB | - | 79.4 MB | 79.4 MB | - | - | 32.1 MB | 32.1 MB | 65.4 MB | 65.6 MB | 65.0 MB | 65.6 MB |
| 2023-10-20 | 3.7.4 | 31.3 MB | 31.3 MB | - | 79.3 MB | 79.3 MB | - | - | 32.1 MB | 32.1 MB | 65.4 MB | 65.6 MB | 65.0 MB | 65.6 MB |
| 2023-10-16 | 3.7.3 | 31.3 MB | 31.3 MB | - | 79.3 MB | 79.3 MB | - | - | 32.1 MB | 32.1 MB | 65.4 MB | 65.6 MB | 65.0 MB | 65.6 MB |
| 2023-10-08 | 3.7.2 | 31.3 MB | 31.3 MB | - | 77.6 MB | 77.6 MB | - | - | 32.1 MB | 32.1 MB | 64.2 MB | 64.4 MB | 63.9 MB | 64.4 MB |
| 2023-09-20 | 3.7.1 | 31.3 MB | 31.3 MB | - | 69.1 MB | - | 69.8 MB | 68.5 MB | 32.1 MB | 32.1 MB | 64.2 MB | 64.4 MB | 63.9 MB | 64.4 MB |
| 2023-09-07 | 3.7.0 | 31.3 MB | 31.3 MB | - | 69.1 MB | - | 69.8 MB | 68.5 MB | 32.1 MB | 32.1 MB | 64.2 MB | 64.3 MB | 63.8 MB | 64.4 MB |
| 2023-05-18 | 3.6.19 | 30.7 MB | 30.7 MB | - | 68.1 MB | - | 68.7 MB | 67.5 MB | 31.3 MB | 31.3 MB | 63.5 MB | 63.7 MB | 63.2 MB | 63.7 MB |
| 2023-05-18 | 3.6.18 | 30.7 MB | 30.7 MB | - | 68.1 MB | - | 68.7 MB | 67.5 MB | 31.3 MB | 31.3 MB | 63.5 MB | 63.7 MB | 63.2 MB | 63.7 MB |
| 2023-04-23 | 3.6.17 | 30.5 MB | 30.5 MB | - | 68.0 MB | - | 68.6 MB | 67.3 MB | 31.2 MB | 31.2 MB | 63.4 MB | 63.5 MB | 63.1 MB | 63.6 MB |
| 2023-04-17 | 3.6.16 | 30.5 MB | 30.5 MB | - | 67.8 MB | - | 68.3 MB | 67.3 MB | 31.2 MB | 31.2 MB | 63.3 MB | 63.4 MB | 62.9 MB | 63.5 MB |
| 2023-03-28 | 3.6.15 | 27.0 MB | 27.0 MB | - | 64.3 MB | - | 64.8 MB | 63.8 MB | 27.7 MB | 27.7 MB | 59.8 MB | 59.9 MB | 59.4 MB | 60.1 MB |
| 2023-03-01 | 3.6.14 | 27.0 MB | 27.0 MB | - | 64.3 MB | - | 64.8 MB | 63.8 MB | 27.7 MB | 27.7 MB | 59.8 MB | 59.9 MB | 59.4 MB | 60.1 MB |
| 2023-02-24 | 3.6.13 | 27.0 MB | 27.0 MB | - | 64.3 MB | - | 64.8 MB | 63.8 MB | 27.7 MB | 27.7 MB | 59.8 MB | 59.9 MB | 59.4 MB | 60.1 MB |
| 2023-02-16 | 3.6.12 | 27.0 MB | 27.0 MB | - | 64.3 MB | - | 64.8 MB | 63.8 MB | 27.7 MB | 27.7 MB | 59.8 MB | 59.9 MB | 59.4 MB | 60.1 MB |
| 2023-02-03 | 3.6.11 | 27.0 MB | 27.0 MB | - | 64.3 MB | - | 64.8 MB | 63.8 MB | 27.7 MB | 27.7 MB | 59.8 MB | 59.9 MB | 59.4 MB | 60.1 MB |
| 2023-01-11 | 3.6.10 | 27.0 MB | 27.0 MB | - | 64.3 MB | - | 64.8 MB | 63.8 MB | 27.7 MB | 27.7 MB | 59.8 MB | 59.9 MB | 59.4 MB | 60.1 MB |
| 2022-12-14 | 3.6.9 | 27.0 MB | 27.0 MB | - | 64.3 MB | - | 64.8 MB | 63.8 MB | 27.7 MB | 27.7 MB | 59.8 MB | 59.9 MB | 59.4 MB | 60.1 MB |
| 2022-11-27 | 3.6.8 | 27.0 MB | 27.0 MB | - | 64.3 MB | - | 64.8 MB | 63.8 MB | 27.7 MB | 27.7 MB | 59.8 MB | 59.9 MB | 59.4 MB | 60.1 MB |
| 2022-06-03 | 3.6.7 | 26.6 MB | 26.6 MB | - | 63.0 MB | - | 63.6 MB | 62.5 MB | 27.3 MB | 27.3 MB | 58.3 MB | 58.9 MB | 58.4 MB | 57.5 MB |
| 2022-03-27 | 3.6.6 | 26.6 MB | 26.6 MB | - | 63.0 MB | - | 63.6 MB | 62.4 MB | 27.2 MB | 27.2 MB | 58.2 MB | 58.8 MB | 58.4 MB | 57.3 MB |
| 2022-02-10 | 3.6.5 | 26.6 MB | 26.6 MB | - | 63.0 MB | - | 63.5 MB | 62.4 MB | 27.2 MB | 27.2 MB | 58.1 MB | 58.8 MB | 58.3 MB | 57.3 MB |
| 2022-01-17 | 3.6.4 | 26.5 MB | 26.5 MB | - | 62.9 MB | - | 63.5 MB | 62.3 MB | 27.2 MB | 27.2 MB | 58.1 MB | 58.7 MB | 58.3 MB | 57.3 MB |
| 2021-12-29 | 3.6.3 | 26.4 MB | 26.4 MB | - | 62.8 MB | - | 63.3 MB | 62.2 MB | 27.1 MB | 27.1 MB | 58.0 MB | 58.6 MB | 58.2 MB | 57.2 MB |
| 2021-12-09 | 3.6.2 | 26.5 MB | 26.5 MB | - | 62.9 MB | - | 63.4 MB | 62.3 MB | 27.1 MB | 27.1 MB | 58.0 MB | 58.6 MB | 58.2 MB | 57.3 MB |
| 2021-12-03 | 3.6.1 | 26.5 MB | 26.5 MB | - | 62.9 MB | - | 63.4 MB | 62.3 MB | 27.1 MB | 27.1 MB | 58.1 MB | 58.7 MB | 58.2 MB | 57.3 MB |
| 2021-12-01 | 3.6.0 | 26.5 MB | 26.5 MB | - | 62.9 MB | - | 63.4 MB | 62.3 MB | 27.1 MB | 27.1 MB | 58.0 MB | 58.6 MB | 58.2 MB | 57.3 MB |
| 2021-06-29 | 3.5.8 | 26.5 MB | 26.5 MB | - | 63.2 MB | - | 63.2 MB | - | 27.1 MB | 27.1 MB | 58.4 MB | 58.6 MB | 58.1 MB | - |
| 2021-06-03 | 3.5.7 | 24.8 MB | 24.8 MB | - | 60.9 MB | - | 60.9 MB | - | 25.4 MB | 25.4 MB | 56.2 MB | 56.4 MB | 56.0 MB | - |
| 2021-05-25 | 3.5.6 | 24.8 MB | 24.8 MB | - | 60.9 MB | - | 60.9 MB | - | 25.4 MB | 25.4 MB | 56.2 MB | 56.4 MB | 55.9 MB | - |
| 2021-04-06 | 3.5.5 | 23.3 MB | 23.3 MB | - | 59.4 MB | - | 59.4 MB | - | 23.9 MB | 23.9 MB | 54.8 MB | 55.0 MB | 54.5 MB | - |
| 2021-03-28 | 3.5.4 | 23.3 MB | 23.3 MB | - | 58.9 MB | - | 58.9 MB | - | 23.9 MB | 23.9 MB | 54.4 MB | 54.6 MB | 54.2 MB | - |
| 2021-02-23 | 3.5.3 | 23.2 MB | 23.2 MB | - | 58.8 MB | - | 58.8 MB | - | 23.8 MB | 23.8 MB | 54.3 MB | 54.5 MB | 54.1 MB | - |
| 2021-02-23 | 3.5.2 | 23.2 MB | 23.2 MB | - | 58.8 MB | - | 58.8 MB | - | 23.8 MB | 23.8 MB | 54.3 MB | 54.5 MB | 54.1 MB | - |
| 2021-02-14 | 3.5.1 | 23.2 MB | 23.2 MB | - | 58.8 MB | - | 58.8 MB | - | 23.8 MB | 23.8 MB | 54.3 MB | 54.5 MB | 54.1 MB | - |
| 2021-01-31 | 3.5.0 | 31.2 MB | 31.2 MB | - | 67.0 MB | - | 67.0 MB | - | 32.0 MB | 32.0 MB | 61.4 MB | 61.6 MB | 61.2 MB | - |
| 2021-01-22 | 3.4.13 | 29.8 MB | 29.8 MB | - | 65.1 MB | - | 65.1 MB | - | 30.1 MB | 30.1 MB | 60.2 MB | 60.4 MB | 60.0 MB | - |
| 2020-12-27 | 3.4.12 | 29.8 MB | 29.8 MB | - | 65.1 MB | - | 65.1 MB | - | 30.1 MB | 30.1 MB | 60.2 MB | 60.4 MB | 60.0 MB | - |
| 2020-11-29 | 3.4.11 | 29.8 MB | 29.8 MB | - | 65.2 MB | - | 65.2 MB | - | 30.1 MB | 30.1 MB | 60.2 MB | 60.4 MB | 60.0 MB | - |
| 2020-11-23 | 3.4.10 | 29.8 MB | 29.8 MB | - | 65.2 MB | - | 65.2 MB | - | 30.1 MB | 30.1 MB | 60.2 MB | 60.4 MB | 60.0 MB | - |
| 2020-11-20 | 3.4.9 | 29.8 MB | 29.8 MB | - | 65.2 MB | - | 65.2 MB | - | 30.1 MB | 30.1 MB | 60.2 MB | 60.4 MB | 60.0 MB | - |
| 2020-11-08 | 3.4.8 | 29.8 MB | 29.8 MB | - | 65.2 MB | - | 65.2 MB | - | 30.1 MB | 30.1 MB | 60.2 MB | 60.4 MB | 60.0 MB | - |
| 2020-10-25 | 3.4.7 | 29.8 MB | 29.8 MB | - | 65.2 MB | - | 65.2 MB | - | 30.1 MB | 30.1 MB | 60.2 MB | 60.4 MB | 60.0 MB | - |
| 2020-10-12 | 3.4.6 | 29.8 MB | 29.8 MB | - | 65.2 MB | - | 65.2 MB | - | 30.1 MB | 30.1 MB | 60.2 MB | 60.4 MB | 60.0 MB | - |
| 2020-10-06 | 3.4.5 | 29.8 MB | 29.8 MB | - | 65.2 MB | - | 65.2 MB | - | 30.1 MB | 30.1 MB | 60.2 MB | 60.4 MB | 60.0 MB | - |
| 2020-10-05 | 3.4.4 | 29.8 MB | 29.8 MB | - | 65.2 MB | - | 65.2 MB | - | 30.1 MB | 30.1 MB | 60.2 MB | 60.4 MB | 60.0 MB | - |
| 2020-09-24 | 3.4.3 | 29.8 MB | 29.8 MB | - | 65.2 MB | - | 65.2 MB | - | 30.1 MB | 30.1 MB | 60.2 MB | 60.4 MB | 60.0 MB | - |
| 2020-09-16 | 3.4.2 | 29.8 MB | 29.8 MB | - | 57.1 MB | - | 57.1 MB | - | 30.1 MB | 30.1 MB | 54.5 MB | 55.7 MB | 53.4 MB | - |
| 2020-09-07 | 3.4.1 | 26.9 MB | 26.9 MB | - | 54.1 MB | - | 54.1 MB | - | 27.2 MB | 27.2 MB | 51.7 MB | 52.8 MB | 50.5 MB | - |
| 2020-09-04 | 3.4.0 | 31.5 MB | 31.5 MB | - | 58.9 MB | - | 58.9 MB | - | 31.9 MB | 31.9 MB | 54.1 MB | 55.3 MB | 53.0 MB | - |
| 2020-07-16 | 3.3.2 | 16.3 MB | 16.3 MB | - | 43.4 MB | - | 43.4 MB | - | 16.4 MB | 16.4 MB | 41.8 MB | 43.0 MB | 40.6 MB | - |
| 2020-06-22 | 3.3.1 | 16.3 MB | 16.3 MB | - | 42.1 MB | - | 42.1 MB | - | 16.4 MB | 16.4 MB | 40.0 MB | - | 40.0 MB | - |
| 2020-06-16 | 3.3.0 | 16.3 MB | 16.3 MB | - | 42.1 MB | - | 42.1 MB | - | 16.4 MB | 16.4 MB | 40.0 MB | - | 40.0 MB | - |
| 2020-04-26 | 3.2.17 | 17.3 MB | 17.3 MB | - | 17.5 MB | - | 17.5 MB | - | 17.4 MB | 17.4 MB | 17.0 MB | - | 17.0 MB | - |
Note, in the table, above, the sizes for the overall OS is the average size of the specific OS version sizes.
Observations
The MacOS installer packages are clearly the largest, with the universal installer topping out at almost 80MB. The Windows installer applications are also quite large at 60MB. Linux tar-balls, and in much smaller at less than 30MB, with the Debian GNU/Linux package being the smallest at just shy of 20MB.
Clearly, because the Java Runtime Environment (JRE) is bundled with the Windows and MacOS installers, they will naturally be larger than the Linux or “other” packages. The Debian package is the least because it uses system installed third-party libraries where possible.
The sizes of the downloads are rather stable over time, except a sharp increase in the 3.6.16 release and an almost corresponding decrease in release 3.7.13. At release 3.4.0, the packages increased dramatically in size and has remained somewhat stable ever since.
Conclusion
It is interesting to see how the number of downloads of Vassal develop over time. Overall, the number of downloads seem rather stable around 30.000 downloads, and has been for the past 4 or 5 years. The fluctuations seen in the number of downloads is likely due to quick successive releases to correct bugs (f.ex. as between 3.7,17 and 3.7.18).
We can also see, that the time between minor release bumps. The last minor release bump to 3.7.0 was roughly one and half year ago (2023-09-07), and similar for the previous minor release bump to 3.6.0 (2021-12-01). However, before that, minor releases came more often.
| Date | Release |
|---|---|
| 2023-09-07 | 3.7.0 |
| 2021-12-01 | 3.6.0 |
| 2021-01-31 | 3.5.0 |
| 2020-09-04 | 3.4.0 |
| 2020-06-16 | 3.3.0 |
I hope you will find this analysis interesting in some way.
Yours,
Christian





